This website requires JavaScript.
Explore
Help
Sign in
Kimelas
/
bgc-c
Watch
2
Star
0
Fork
You've already forked bgc-c
0
Code
Issues
Pull requests
Projects
Releases
Packages
Wiki
Activity
Actions
add4d89c80
bgc-c
/
docs
/
media
/
quaternion_result.png
Andrey Pokidov
3ff894cf5d
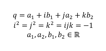
Написание документации: кватернионы и версоры
2024-11-25 01:57:35 +07:00
8.6 KiB
432x209px
Raw
History